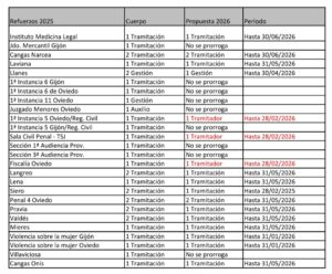
Nos acaba de remitir un email la Viceconsejera de Justicia indicando lo siguiente:
«Esta mañana nos han autorizado a prorrogar tres refuerzos más. Os adjunto la tabla actualizada.»

Desde SPJ-USO exigimos de manera inmediata una reunión urgente para aclarar y para que explique, con total transparencia, el motivo real del cese de un elevado número de refuerzos.
Del mismo modo, reclamamos una justificación clara y objetiva de por qué, tras anunciar nuevos refuerzos, se destinan a unos órganos concretos y no a otros, sin criterio conocido ni explicación alguna.
Resulta inaceptable y absolutamente vergonzoso que el mismo día el personal interino cese, a tres de esas personas se les informe de que finalmente continúan, evidenciando una gestión arbitraria, improvisada y carente del más mínimo rigor.
Os mantendremos informados….





